IEEE standard (IEEE 754)

Single precision
F(2,24,−126,127), each number is stored in 32 bits (4 bytes)
💡
precision은 24인데 mantissa는 23인 이유는 hidden bit때문이다
💡
L:1−28,
H:28−1 (
28은 NaN이나 infinity를 판단하는 용도로 특별히 사용된다)
Double precision
F(2,53,−1022,1023), each number is stored in 64 bits (8 bytes)
💡
precision은 53인데 mantissa는 52인 이유는 hidden bit때문이다
💡
L:1−211,
H:211−1 (
211은 NaN이나 infinity를 판단하는 용도로 특별히 사용된다)
Biased exponent
추가적으로 exponent area에 들어가는 값은 biased 된 값이다. (즉 exponent are에 들어가는 값은 unsigned integer임에 유의해야 한다.)
{e′=e+127e′=e+1023(single)(double) 💡
127은
(28−2)/2에서 유래한 값이고, 1023은
(211−1)/2에서 유래한 값이다. 지수 중 2개는 예약되어 subnormal 형태나 NaN, infinity 형태로 특수하게 사용되기 때문이다.
Representation of numbers in IEEE standard

Floating-point Arithmetic
- Addition or subtraction : Shifting mantissa to make exponents match may cause loss of some digits of smaller number
💡
Exponent가 큰 수 기준으로 exponent를 조정한다.
- Multiplication : Product of two p-digit mantissa contains up to 2p digits, so result may not be representable
- Division : Quotient of two p-digit mantissa may contain more than p digits, such as nonterminating binary expansion of 1/10
💡
즉 Floating-point 끼리 연산을 수행하는 과정에서 오류가 발생할 수 있다.
Example

Guard Digit

💡
즉, guard digit를 사용했을 때 relative error를 줄일 수 있다.
Cancellation error
Cancellation error (losing significant digits) occurs in the subtraction of two close numbers

💡
즉, 초반부 소수점들을 표현하는 정보를 사용하지 못함으로써 발생하는 error라고 생각해주면 된다.
Example 1

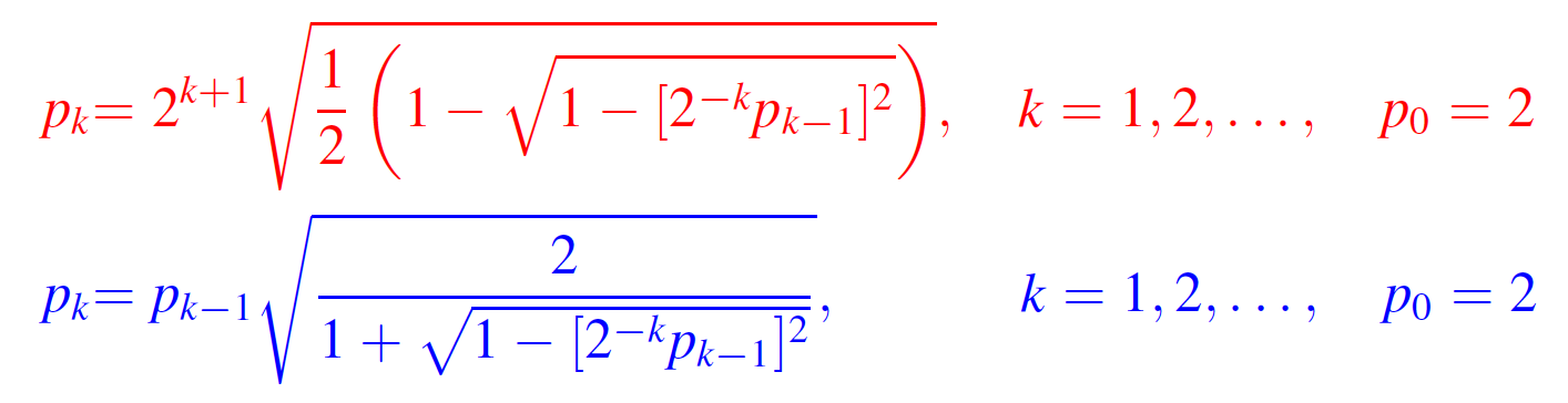
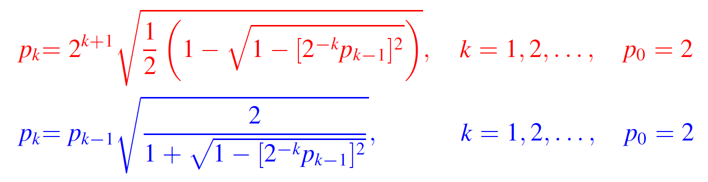
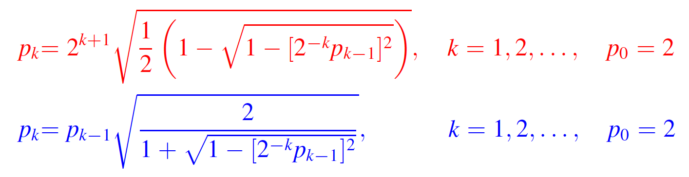
Example 2 : Approximation of π in double precision


이렇게 되는 이유는 위의 빨간색이 빼기가 있기 때문이다.
k가 커짐에 따라서 2−kpk−1이 0으로 수렴하고 결과적으로 매우 가까운 2개의 수를 빼는 것으로 수렴한다. 두 식은 수학적으로는 동일하지만, 컴퓨터로 처리하는 과정에서 큰 차이를 발생시킨다.
💡
파란색이 converge하는 이유는
u로 수렴하기 때문이다.
Conditioning and Stability

The input data of a model (problem) is always subjected to some perturbations (like as roundoff errors)
💡
즉, 컴퓨터는 숫자를 정확히 표현을 할 수 없기 때문에 input을 입력하는 과정에서 perturbation이 들어갈 수 밖에 없다.
Therefore, the fundamental question then is “How much the solution of the perturbed problem is close to the solution of the original problem?”
💡
즉, input의 perturbation이 존재하더라도 output이 조금만 변했으면 좋겠다는 것이다.
- well-conditioned : sensitivity is low (즉 input에 noise가 들어가도 output이 크게 변동되지 않는다는 의미이다.)
- ill-conditioned : sensitivity is high (input에 noise가 들어가면 output이 크게 변동된다는 의미이다)
If we replace the term “problem” with “algorithm” then we say that the algorithm is either stable or unstable
Example : Hilbert matrix


💡
즉, Hilbert matrix는 ill-conditioned한 것의 대표적인 예시이다.
Condition number of a matrix
Consider the system Ax=b and the perturbed system A(x+δx)=b+δb. We get δx=A−1(δb) (Assuming perturbation only in b for simplicity)
Take the norm from both sides
∥δx∥≤∥A−1∥∥δb∥ From original system Ax=b we have ∥b∥≤∥A∥∥x∥, or
∥x∥1≤∥b∥∥A∥ Multiplying both sides of recent equations we get
∥x∥∥δx∥≤∥A∥⋅∥A−1∥b∥∥δb∥=∣δ∣(∥A∥⋅∥A−1∥) At the worst case the error in the output is amplified by ∥A∥⋅∥A−1∥. So the condition number of A is defined as
cond(A):=∥A∥⋅∥A−1∥ 💡
Vandermonde matrix 도 ill-conditioned matrix이다.
💡
만약
A가 non-singular해서 invertible하지 않으면 condition number는 SVD를 활용해서 정의된다. 해당하는 내용은 나중에 다룬다.